O transtorno do espectro autista (TEA) é um transtorno do neurodesenvolvimento cuja prevalência vem crescendo globalmente, gerando impacto social, econômico e familiar significativo. A condição é quatro a cinco vezes mais comum em meninos e caracteriza-se por déficits na comunicação e na interação social, além de comportamentos sensório-motores repetitivos ou atípicos. A apresentação clínica é heterogênea, com ampla variabilidade entre indivíduos. Segundo o Global Burden of Disease, a prevalência global de TEA é estimada em aproximadamente 0,8%, chegando a cerca de 1% em crianças, com variações relevantes conforme região e metodologia de avaliação1-3.
Embora sua etiologia permaneça parcialmente compreendida, sabe-se que envolve fatores genéticos, ambientais e nutricionais inter-relacionados. A nutrição materna durante a gestação desempenha papel crítico no neurodesenvolvimento, e estudos mostram que crianças com TEA apresentam padrões nutricionais distintos daquelas com desenvolvimento típico. Desequilíbrios nutricionais, frequentemente associados à seletividade alimentar, podem agravar manifestações comportamentais. Além disso, há evidências de que o estresse oxidativo e alterações metabólicas podem influenciar a fisiopatologia do TEA, afetando o desenvolvimento cerebral e o comportamento1.
DHA e Neurodesenvolvimento
O ácido docosahexaenoico (DHA), um ácido graxo ômega-3 de cadeia longa, é essencial para o crescimento e o desenvolvimento infantil, especialmente para a formação e o funcionamento do sistema nervoso central e da retina. No cérebro, o DHA representa cerca de 30% dos lipídios das membranas neuronais, sendo fundamental para a fluidez e a plasticidade sináptica, que sustentam processos cognitivos como memória e aprendizagem. Além disso, o DHA possui ações neuroprotetoras e anti-inflamatórias, capazes de modular mediadores inflamatórios e reduzir o estresse oxidativo, reforçando sua importância no neurodesenvolvimento ao longo da infância1,4.
Metodologia:
Uma série de casos prospectiva conduzida por Salmazo GF, et al., (2023)5 avaliou o efeito do uso contínuo de óleo marinho de Schizochytrium sp. rico em DHA, associado a um complexo multivitamínico/mineral, sobre sintomas clínicos de crianças com TEA grave, incluindo:
- Avaliação clínica e comportamental (CARS): Escala que analisa gravidade geral do TEA considerando comunicação, relações sociais, comportamento e resposta intelectual.
- Comportamento adaptativo (ABAS-3): Avaliação de funcionalidade adaptativa, considerando quatro domínios principais:
- Conceitual (comunicação, conhecimento pré-acadêmico, autodireção)
- Social (interação e habilidades sociais)
- Prático (autocuidado, segurança, vida doméstica, habilidades motoras)
- Composto Geral de Adaptação
- Marcadores metabólicos: Capacidade antioxidante total urinária e perfil de aminoácidos, e outros metabólitos.
A dose diária administrada foi de 2 mL de óleo marinho de Schizochytrium sp., equivalentes a 200 mg de DHA e 2 mg de EPA, em associação ao complexo multivitamínico/mineral, durante 12 semanas. Crianças com epilepsia foram excluídas do estudo5.
Resultados:
Foram incluídas 12 crianças com TEA grave, com idades entre 2 e 6 anos (média de 4,6 ± 1,0 anos). Nenhum paciente apresentou efeitos adversos ao uso dos suplementos e, ao contrário, pais e profissionais relataram múltiplos efeitos positivos ao longo do acompanhamento5.
Após 12 semanas de intervenção, observou-se:
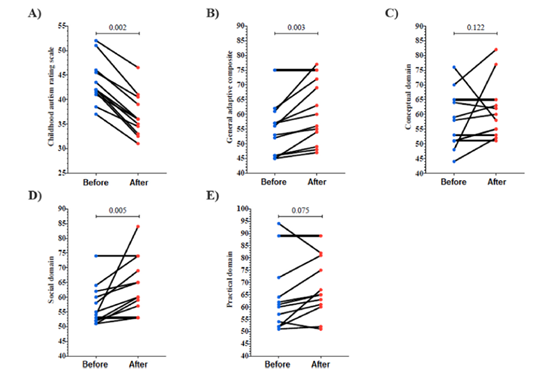
- Melhora significativa nos escores da escala CARS (Figura 1)
- Melhora nos domínios social e geral da ABAS-3 (Figura 1)
- Aumento da capacidade antioxidante total urinária
- Alterações em determinados aminoácidos
De acordo com a Tabela 1, todas as crianças apresentaram melhora na comunicação e no contato visual, além de ganhos adicionais em vocabulário, interação social, hábitos alimentares e redução da seletividade alimentar5.
(Figura 1 e Tabela 1 conforme estudo)

Figura 1: Resposta ao tratamento com óleo de Schizochytrium sp. marinho e complexo multivitamínico e mineral de participantes com TEA, avaliada pela escala ABAS-3. A) Escala de Avaliação do Autismo Infantil; B) Domínio Composto Adaptativo Geral; C) Domínio Conceitual; D) Domínio Social; E) Domínio Prático. Os dados são apresentados por dados brutos e pareamento entre antes e depois de 12 semanas de tratamento. A análise estatística aplicada foi o teste de postos sinalizados de Wilcoxon, que indicou a diferença estatística entre antes e depois do tratamento, considerando um erro alfa de 0,05. Fonte: Salmazo GF, et al., (2023)

Tabela 1: Informações dos participantes com transtorno do espectro autista incluídos no estudo e suas respostas ao óleo de Schizochytrium sp. marinho e ao complexo multivitamínico e mineral. Fonte: Salmazo GF, et al., (2023)
Discussão:
Na literatura foi mostrado que crianças mais novas apresentam maior vulnerabilidade ao estresse oxidativo devido à imaturidade de seus mecanismos antioxidantes. Assim, a suplementação de antioxidantes em crianças mais novas superaria esse desequilíbrio, eliminando esses radicais livres. Como a exposição prolongada ao estresse oxidativo pode afetar processos celulares importantes, a melhora dos marcadores antioxidantes é considerada um achado relevante. O aumento da capacidade antioxidante urinária observado no estudo reforça esse mecanismo potencial5.
Diversos estudos já avaliaram o uso de vitaminas, minerais e ácidos graxos em crianças com TEA, demonstrando melhora em hiperatividade, comportamento sensório-motor e redução de marcadores de estresse oxidativo. Estudos recentes mostram que pacientes com TEA relataram benefícios gerais com o uso de multivitamínicos e nutracêuticos5.
Meta-análises indicam que que o ômega-3 pode melhorar sintomas como hiperatividade, letargia e estereotipias, mas não o funcionamento ou a responsividade social, em concordância parcial com os achados do estudo. Em contrapartida, outra meta-análise indicou que pacientes com TEA apresentam baixos níveis de DHA, EPA e ácido araquidônico, e a suplementação de ômega-3 de cadeia longa está associada à melhora da interação social e de comportamentos repetitivos ou restritos5.
O estudo de Salmazo GF, et al., (2023)5 é o primeiro a avaliar a combinação de DHA com um complexo multivitamínico/mineral em crianças com TEA grave, demonstrando melhora em diferentes domínios comportamentais, possivelmente mediada pelos efeitos antioxidantes e neuroprotetores do DHA e dos micronutrientes envolvidos5.
Conclusão
Crianças com TEA frequentemente apresentam níveis reduzidos de ácidos graxos essenciais, como DHA e EPA, o que pode se correlacionar com a intensidade dos sintomas. Os achados preliminares sugerem que a suplementação de DHA, em associação a vitaminas e minerais, pode contribuir para melhorias comportamentais e adaptativas. Entretanto, as evidências ainda são insuficientes para recomendar a suplementação como tratamento específico para TEA. Estudos maiores, controlados e de longa duração são necessários para confirmar esses benefícios5,6.
Referencias
- Długosz A, Wróblewski M, Błaszak B, Szulc J. The Role of Nutrition, Oxidative Stress, and Trace Elements in the Pathophysiology of Autism Spectrum Disorders. Int J Mol Sci. 2025 Jan 18;26(2):808.
- Global Burden of Disease Study 2021 Autism Spectrum Collaborators. The global epidemiology and health burden of the autism spectrum: findings from the Global Burden of Disease Study 2021. Lancet Psychiatry. 2025 Feb;12(2):111-121.
- Zeidan J, Fombonne E, Scorah J, Ibrahim A, Durkin MS, Saxena S, Yusuf A, Shih A, Elsabbagh M. Global prevalence of autism: A systematic review update. Autism Res. 2022 May;15(5):778-790.
- Nogueira-de-Almeida, C. A., Ribas Filho, D., Philippi, S. T., Pimentel, C. V. de M. B., Korkes, H. A., Mello, E. D. de, Bertolucci, P. H. F., & Falcão, M. C. (2022). II Consensus of the Brazilian Nutrology Association on DHA recommendations during pregnancy, lactation and childhood. International Journal of Nutrology, 15(3).
- Salmazo GF, Oliveira MAB, Marson FAL, Sciani JM. Preliminary analysis of a clinical trial of children with autism spectrum disorder treated with DHA-rich marine Schizochytrium oil and multi-vitamin/mineral complex. Res Autism Spectr Disord. 2023;109:102282.
- Parletta N, Niyonsenga T, Duff J. Omega-3 and Omega-6 Polyunsaturated Fatty Acid Levels and Correlations with Symptoms in Children with Attention Deficit Hyperactivity Disorder, Autistic Spectrum Disorder and Typically Developing Controls. PLoS One. 2016 May 27;11(5):e0156432.